熱烈祝賀我司客戶在國際著名期刊上發表論文
更新時間:2022-12-29 點擊次數:3382

第一作者:Chensheng Xian, Jie He
張澤會,中南民族大學大學教授,國家優秀青年科學基金獲得者2017年入選中南民族大學第一批青年拔尖人才工程,并破格晉升為教授;2018年入選國家民委中青年英才計劃;2018年獲第16屆教育部霍英東基金會青年教師獎;2018年作為第一完成人獲湖北省自然科學三等獎,第二完成人獲遼寧省自然科學獎二等獎;2020年湖北省杰出青年科學基金項目獲得者。張澤會教授主要從事綠色化學、催化化學等研究工作,以通訊作者在Science Advances、Nature Communications、Chem、JACS、Angwante Chemie, Chem.Soc.Rev.等期刊發表SCI論文120余篇,所發表論文被SCI期刊論文引用7000余次,H指數50,獲授權項目20項。1篇通訊作者論文入選2013年度中國百篇國際影響學術論文,先后16篇通訊作者論文入選美國科技信息所基本科學指標數據庫(ESI)高被引用論文,15篇通訊作者單篇引用次數大于10。張澤會老師課題組的論文《High Nitrile Yields of Aerobic Ammoxidation of Alcohols Achieved by Generating •O2– and Br• Radicals over Iron-Modified TiO2 Photocatalysts》在《JACS》上發表。
張澤會老師課題組在實驗中所用光催化反應釜由西安太康科技提供,論文中也特別提到西安太康生物科技有限公司,在此非常感謝老師對太康儀器的選擇和認可。太康儀器將助力科研工作者加速取得更加輝煌的成就!


全文速覽
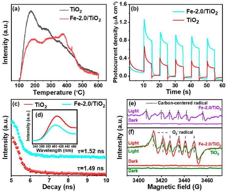
醇氨氧化制腈是有機合成反應。該反應使用 NH3 作為氮源,O2 作為氧化劑,并且不需要使用貴金屬催化劑。但是,在室溫下進行該合成反應仍具有挑戰性。本文報告了由 Fe(III) 修飾二氧化鈦 (Fe/TiO2) 組成的穩定光催化劑,用于在室溫下、利用大氣壓力下的氧氣、NH3 作為氮源、NH4Br 作為添加劑來進行氨氧化反應。在光催化醇類氨氧化中,這是第一個使用如此廉價且出色的材料案例。該研究以高產率合成了各種(雜)芳香族腈,并且脂肪醇也能以相當大的產率轉化為相應的腈。Fe(III) 對 TiO2 的改性促進了活性•O2- 自由基的形成,增加了 NH3和氨基中間體在催化劑上的吸附,加速了氨氧化生成腈。添加劑 NH4Br 通過從 Br- 形成溴自由基 (Br•),顯著提高了催化效率。它與 •O2- 協同作用,來從 Cα-H中捕獲 H•(Cα-H 存在于苯甲醇和中間體醛亞胺 (RCH═NH) 中),進而產生以活性碳為中心的自由基。此外,Br-添加劑生成的 Br• 會消耗光生空穴和 OH• 自由基,以防止過度氧化,從而提高對腈的選擇性。Fe(III) 摻雜 TiO2 和 NH4Br 的功能以及協同作用的結合,為開發精細化學合成的半導體基光催化系統提供了新機會。
背景介紹
腈是有機合成中的重要中間體,在醫藥、有機和高分子化學中具有廣泛應用。合成腈的一般方法主要有鹵代烷的親核氰化, Wittig 反應和過渡金屬催化的芳烴氰化。然而,這些方法具有原始材料成本高、有毒廢物產生以及原子效率低下等缺點。因此,許多研究致力于開發用于環境友好的腈合成的新型催化方法。 精煉可再生生物質可以產生大量的含氧化合物,例如醛類和醇類,它們是工業用途廣泛的原材料。將醇和醛直接氨氧化成腈是一種理想的綠色工藝,因為它使用來自可持續生物質的原料,而水是副產物。使用熱催化方法生產腈已得到充分證明,其主要使用貴金屬催化劑或過渡金屬催化劑對醇和醛進行氨氧化。醇氨氧化制腈涉及醇的選擇性氧化。大多數熱催化系統需要高反應溫度(高達 100 °C)和高壓氧氣,這會產生一系列不良副產物。因此,在溫和條件下進行氨氧化被認為是非常重要的。半導體上的光催化氧化還原反應可以在室溫下進行,并且在有機合成界受到越來越多的關注。光催化過程在室溫下會產生活性物質,例如光生載流子和氧化自由基。使用廉價且豐富的材料作為催化劑的光催化系統,同時要實現高反應速率和產物選擇性,這十分具有挑戰性。當使用 NH3 和 O2 從醇和醛生產腈時,這尤其困難,因為過氧化副反應很難避免。顯然,目前非常需要開發新型多相非貴金屬光催化系統,其可以使用低成本且易于獲得的 NH3 作為氮源來將生物質衍生的醇氨氧化成腈。
· 論文中局部圖表引用:







